单位向量怎么求公式(高中数学常用公式及结论)
单位向量怎么求公式(高中数学常用公式及结论)
一、实数与向量的积的运算律:设 λ、μ 为实数,那么:
① 结合律:

结合律图
② 第一分配律:

第一分配律图
③ 第二分配律:

第二分配律图
二、向量 a 与 向量 b 的数量积(或内积):

数量积图
三、平面向量的坐标运算:
①

平面向量的坐标运算图(1)
②

平面向量的坐标运算图(2)
③

平面向量的坐标运算图(3)
④

平面向量的坐标运算图(4)
⑤

平面向量的坐标运算图(5)
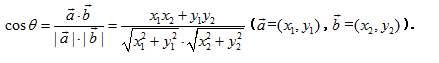
四、求夹角和长度:
① 求夹角:

求夹角图
② 求长度:

求长度图
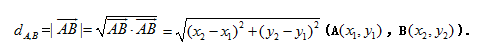
五、平面两点间的距离公式:

平面两点间的距离公式图
六、共线向量定理:
空间任意两个向量

共线向量定理图
① 三点共线:

三点共线图
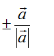
② 与 向量 a 共线的单位向量为

与 向量 a 共线的单位向量图
七、共面向量:
①定义:一般地,能平移到同一平面内的向量叫做共面向量。
说明:空间任意的两向量都是共面的。
② 共面向量定理:

共面向量定理图
③ 四点共面 :

四点共面图
八、向量的平行与垂直 :

向量的平行与垂直图
九、线段的定比分点公式 :

线段的定比分点公式 图
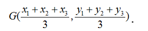
十、三角形的重心坐标公式:
△ABC三个顶点的坐标分别为 A(x1 , y1)、B(x2 , y2)、C(x3 , y3), 则 △ABC 的 重心 的坐标是

三角形的重心坐标公式图
十一、三角形四“心”向量形式的充要条件:
设 O 为 △ABC 所在平面上一点,角 A , B , C 所对边长分别为 a , b , c ,则
①

三角形四“心”向量形式的充要条件图(1)
②

三角形四“心”向量形式的充要条件图(2)
③

三角形四“心”向量形式的充要条件图(3)
④

三角形四“心”向量形式的充要条件图(4)
标签:
