孙中山的“革命红颜”:陪其创立民国,却为何在中途功成身退?
孙中山的“革命红颜”:陪其创立民国,却为何在中途功成身退?
“我们五兄弟当时年纪太小,不太会问及阿太这些问题,但有时候我们也会逗逗她,问她一些小孩子的话,比如问她说太叔公孙中山是不是长得很帅?她总是不回答我们,却露出既神秘又迷人的微笑,仿佛回忆起什么,这时我们会觉得她特别甜。这种表情在卢夫人身上,或是在宋庆龄身上是看不到的。——孙必达”
2001年2月27日,新加坡《联合早报》首次刊登了一张女子半身照,照片说明是:“曾追随孙中山出生入死,到处为革命奔走,知有其人者不少,知其容貌者则很少”。
但事实很可能是,“知有其人者”也不多。
照中人既非孙中山的原配卢慕贞,也不是“国母”宋庆龄。而是一位叫“陈粹芬”的女人。

陈粹芬(不知是否是南洋纪念馆那张)
这张半身照最早是被陈列在新加坡的孙中山南洋纪念馆中,馆长冯仲汉先生坦白,自己对孙中山的革命事业是很熟悉的,但他一直不知道有陈粹芬其人。
直到他为筹备纪念馆四处奔走挖掘史料时,获得一位华侨捐献的这张陈粹芬半身照为止;
同样,孙中山文献收藏家王耿雄先生在第一次看到陈粹芬照片时,也很迷惑:这个女人是谁?
但这位几乎被历史遗忘的女人,却非常为孙氏家人所熟悉且接纳,包括孙中山的大哥孙眉、孙中山的原配夫人卢慕贞等。
孙眉待陈粹芬非常好,他承认其为家族一员,名分是“孙文之妾”;卢慕贞与陈粹芬则形同姐妹,感情深厚,且这种关系一直维持到晚年;孙辈则尊敬地称陈粹芬为“南洋婆”。

那陈粹芬到底为孙中山的革命事业做了什么贡献?为何孙中山似乎从未公布过与陈粹芬的关系?他后来为什么又娶了宋庆龄?……
照片上的陈粹芬与普通女子无二样,不过生得浓眉大眼,五官线条较硬,透着一种阳刚之气。所谓“相由心生”还是很有道理的,陈粹芬现实中确实是一难得的“女中丈夫”。
她的祖籍是福建同安,出生于香港。她在家排行老四,人称“四姑娘”或“陈四姑”。
据说陈粹芬父亲是中医,但早亡,因此家贫,她也没上过什么学。
但是她却有勇敢坚毅的性格,可称得上是爱国新女性。她容易接受摩登事物,懂骑马,会开枪,在那个时代的女性中是很少见的。

她与孙中山相识的时候,还是18岁的妙龄少女,当时是1891年,孙中山在香港西医书院还有一年就要毕业了。
有一天,在屯门基督教堂(美国纪慎会),他在学校最亲密的朋友陈少白给他介绍了一名少女。孙中山毫无掩饰地向她表示,要效法洪秀全、石达开推翻清朝。
这名少女对他的崇拜之情油然而生,心中那革命的火种瞬间被点燃,也立志参加革命。这名少女就是陈粹芬。
两人在共同的道路上,很快便惺惺相惜,结合为革命伴侣。之后就在红楼租屋住下,共同策划反对腐朽的清政府。

红楼坐落在屯门青山湾西面的白角,是很有革命纪念意义的地方。
当时很多革命青年,如陈少白、冯自由、郑士良等,都常常搭载夜间的小船,跑到那里与孙中山和陈粹芬聚会,商讨革命事宜。
陈粹芬襄助孙中山主要是从1892-1912年这段时间,前后有约二十年。
我把它分三个阶段给大家简述一下:
第一阶段,1892-1895年间:孙中山以第一名的成绩从西医书院毕业,先后到澳门和广州,边“悬壶济世”边宣传革命;
后来又在檀香山建立“兴中会”,接着回广州发动起义,不幸失败后亡命日本。
这三年多时间里,陈粹芬无怨无悔地陪在孙中山左右,尽心扮演着伴侣、护士、卫士等多重角色。

第二阶段,1897-1905在日本期间:
清政府曾派人诱降,并派遣密探企图加害革命党人。陈粹芬以妻子的名义掩护着孙中山。
此外,她还任劳任怨地为革命党人烧菜做饭、洗衣服等。包括胡汉民、戴季陶、廖仲恺、蒋介石、许崇智、陈炯明、陈其美、黄兴、蔡锷等,都曾受到陈粹芬的亲切接待与照顾。
大家当时背井离乡,得到这样如家般的温暖,都很感动,亲切地称陈粹芬为“四姑”。
当时还有很多日本社会知名人士与孙中山来往密切,如宫崎寅藏、犬养毅等。

宫崎寅藏
宫崎寅藏的妻子曾写过一篇《我对辛亥革命的回忆》,其中她提到丈夫的哥哥宫崎民藏对她说:
“在照顾孙先生日常生活的那位中国妇女同志,真是个女杰。她那用长筷子、张着很大的眼睛、像男人在吃饭的样子,革命家的女性只有这样才能担当大事。”
1900年的惠州起义,横滨作为中转站运输美国、加拿大先进武器的事宜,都是由陈粹芬接洽处理的。
第三阶段,1906-1910在南洋期间:
1905年,同盟会在东京成立后,孙中山开始到南洋各地奔走革命。陈粹芬依然不畏艰险,伴随先生左右。还亲自印刷宣传品——反清檄文。

新加坡晚晴园
那段时间,他们一起寓居在新加坡北区大人路12号的晚晴园中。
1907年的黄冈、镇南关起义以及1908年的河口起义策划工作,都是孙中山在晚晴园完成的。
那段时间,只要孙中山下榻晚晴园,那里立刻就成为各种革命志士与社会名流的聚集地,而陈粹芬忙碌的身影也总是被人们看到。
然而就是这么形影不离的关系,却在1912年初,孙中山就任中华民国临时大总统后,彻底划上了句号。
同年2月,陈粹芬、卢慕贞及她的两个女儿从槟榔屿返国,卢慕贞母女到南京与孙中山团聚,而陈粹芬则悄然去了广州。
从那时起,孙中山身边再也看不见陈粹芬的影子——他们分手了。

孙中山与陈粹芬
为何?患难吃苦都一起携手扛过来了,如今中华民国创立,孙中山身居高位,陈粹芬这个有大功劳的女人却功成身退?
辛亥革命功臣黄三德在《洪门革命史》一书中,指出孙、陈分手于1912年春夏之间,推测在5月下旬,英文秘书宋霭龄出现为止。
但是也有学者提出二人分手应在更早的时候,因为在孙中山4月份参加各种社会活动的照片中,就已经没有了陈粹芬的身影。
陈粹芬离开孙中山后,由孙眉供养。她住在其澳门风顺堂4号的家中。
从那时开始,陈粹芬不再参加任何社会活动,安心在家,对往事也很少提,留着民初女学生样的“清汤挂面头”,十分朴素。

1935年,陈粹芬(三排左一)与卢慕贞(三排左二)等在广州
直到1915年,孙眉去世,同年9月,孙中山与卢慕贞离婚。陈粹芬于是告别了亲友,只身赴南洋,隐居在马来半岛槟城,与商人陆文辉合股经营橡胶园。
陈粹芬虽然随侍孙中山多年,却没能生育。因此她抱养了一位姓苏的华侨刚生下一年的女婴作为养女,取名孙仲英,又名孙容(从姓氏上足可见陈粹芬对孙中山的如海深情)。
后来陈粹芬经营橡胶园失败,只能依靠当地华侨和老兴中会、同盟会成员的照顾,母女二人才得以相依为命。
孙中山之子孙科在那段时间屡次邀请陈粹芬回国与亲友团聚,资料记载她至少回去了两次,一次是1917年,一次是1921年。

陈粹芬(前排左三)与卢慕贞(前排左四)
我们知道1915年的时候,孙中山已经与宋庆龄结婚。所以陈粹芬1917年回国时,曾到孙中山住的广州士敏土厂,想见他一面,但遭到了“遣离”。
当天的情景,卫士队长马湘都看在了眼里,他将此心酸一幕告诉了旁人,由同为孙中山追随者的邓家彦记录在了自己的口述自传中:
“民国六年,总理返粤护法,住士敏土厂。一日,四姑复来,门警森严,不得入,伫立遥望。总理闻讯,登阳台,频挥手令离去。”
1925年,孙中山病逝,陈粹芬闻讯悲痛不已,设灵坛遥祭了七天之久。
1931年,陈粹芬在孙科的邀请下归国,后来定居在广州,蒋介石在广州事变后还赠予这位当年在日本照顾过自己的女人10万(也有说3万)元,让她用来养老、建屋。
但是房子还没建好,广州就沦陷了。

抗战爆发后,陈粹芬不顾自己已经年老,到处宣传抗日必胜的理念,做抗日后援。
连养女在抗战中所生的外孙,她都取名必胜、必兴、必达、必成、必立,来昭示中国必胜的信心。
外孙们的父亲是孙眉的孙子,即孙中山的侄孙孙乾。孙容与孙乾的恋爱一开始其实遭到了孙家的强烈反对,尤其是卢慕贞。
后经孙科从中斡旋,有情人才得以终成眷属。婚后,孙容恢复了原姓,叫苏仲英。
1938年10月,广州失守,陈粹芬搬到香港避难。两年后,女儿女婿携两子从意大利返港,与陈粹芬住在一起。
苏仲英两口子对陈粹芬非常孝顺,陈因此得以享受天伦之乐。

陈粹芬养女苏仲英结婚照
1941年12月,太平洋战争爆发,不久香港也沦陷了。陈粹芬一家又逃往内地。
孙乾被升为第七战区余汉谋部通信兵团少将团长,驻守广东韶关。陈粹芬也随他们住在韶关。抗战胜利后,孙乾任中山县县长,陈粹芬又随他们到中山石岐居住。
中山县是孙中山故居,听闻陈粹芬回乡,当地父老、老同盟会员、老国民党员等纷纷前往拜见,并以此为荣。
1949年,陈粹芬随女儿一家重返香港,安度晚年。
然而不幸的是,苏仲英于1958年1月因患癌病逝于香港,年仅44岁。
白发人送黑发人,本就年老体弱的陈粹芬遭此沉重打击,身体变得更加衰弱,行动困难,举步都要依靠轮椅。

1948年,陈粹芬与孙乾全家在中山县石岐合影
仅仅两年多后的1960年10月21日,陈粹芬也在香港离世,享年87岁。家人由于种种原因,治丧办得很低调,将老人匆匆葬于九龙荃湾华人永远坟场。
直到1992年,孙乾才经中山县侨办的大力协助,将陈粹芬移葬于翠亨村孙族坟场西北山头。
陈粹芬一直珍藏着孙中山送她的两样东西:一只金制怀表和一枚戒指。
金表是孙中山在香港学医时的英籍老师康德黎于1874年赠送给他的,康德黎曾救过孙中山一命,因此这只表很有纪念意义。
孙中山从英国回到日本横滨与陈粹芬团聚时,将这只金表送给了陈粹芬。

陈粹芬与孙中山画
陈粹芬特别珍视这只表,经常拿出来给人看,她说:“这个表恩情深厚,我交党人及友人看过总次数在一千以上了。”
还有一枚戒指是陈粹芬临终时,交给外孙孙必胜的,说这是当年孙中山送给她的礼物。
关于孙中山与陈粹芬当年突然的分手,陈粹芬也解释过,她是这样说的:
“我跟中山反清建立了中华民国,我救国救民的志愿已达,我视富贵如浮云,中山自伦敦蒙难后,全世界的华侨视他如人民救星。当了总统之后,贵为元首,崇拜者众,自古共患难易共富贵难,我自知出生贫苦,知识有限,自愿分离,并不是中山弃我。所以说中山待我不薄,也不负我。”

晚年陈粹芬(右),旁人是刘成禺
那孙中山是如何看待自己这位“革命红颜”的呢?
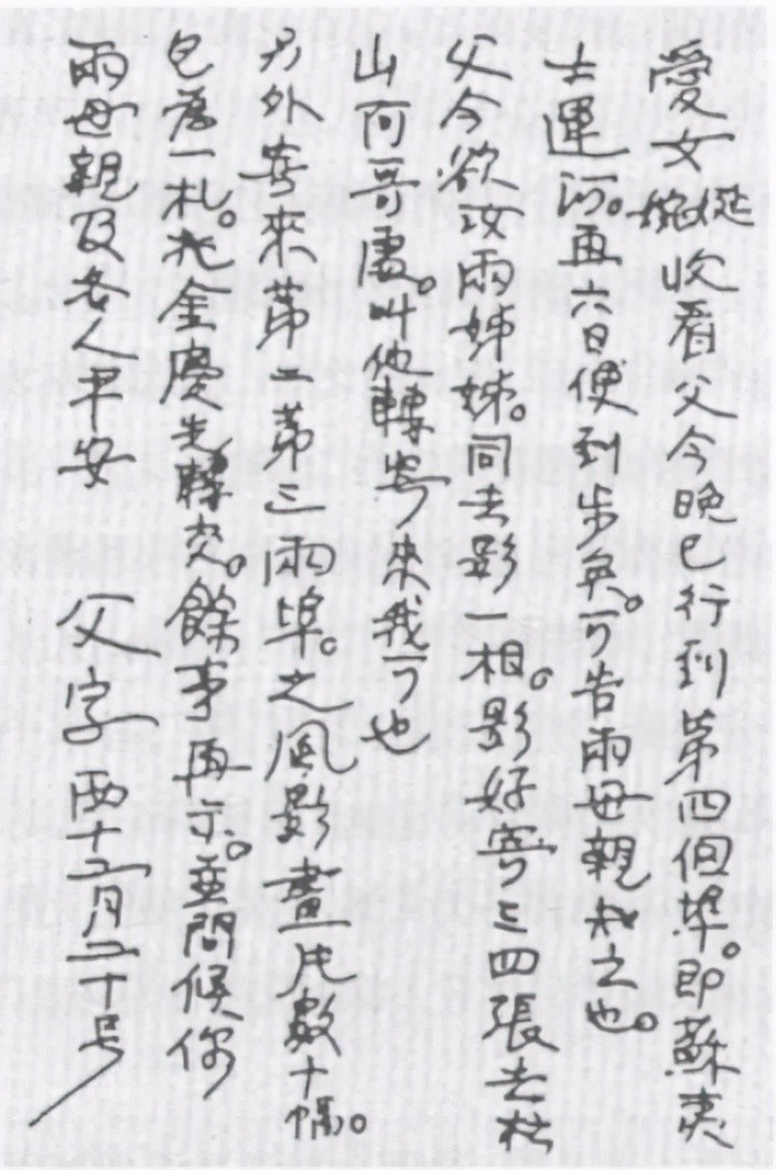
1910年12月20日,他在埃及写信给女儿孙娫、孙婉,其中有两次提到了陈粹芬,称她与卢慕贞为“两母亲”,信件原文是这样的:
“爱女娫婉收看:父今晚已行到第四个埠。即苏伊士运河。再六日便到步(埠)矣。可告两母亲知之也。……余事再示。并问候你两母亲及各人平安。——父字西十二月二十号”
这是目前发现的孙中山唯一谈及陈粹芬的信,原件现藏于广东翠亨孙中山故居纪念馆。

孙中山1910年12月20日写给女儿的信
(全文终)
您的点赞、关注、转发是对我最大的鼓励!雪梨期待与您一起交流探讨,非常感谢!
备注:图片来自网络,侵权必删。
标签:
